Summary:
A deep transfer learning AI model predicted spoken language outcomes in children one to three years after receiving cochlear implants with 92% accuracy, demonstrating a robust, globally applicable tool to guide earlier, individualized intervention.

Key Takeaways:

  • The AI model outperformed traditional machine learning approaches across heterogeneous, multi-site, multilingual MRI datasets.
  • Accurate pre-implantation predictions could enable a “predict-to-prescribe” approach, identifying children who may benefit from intensified early speech and language therapy.
  • Findings support the feasibility of a single prognostic AI tool for cochlear implant programs worldwide, regardless of imaging protocols or language backgrounds.

An AI model using deep transfer learning – the most advanced form of machine learning – predicted with 92% accuracy spoken language outcomes at one-to-three years after children received cochlear implants, according to a large international study published in JAMA Otolaryngology-Head & Neck Surgery

Although cochlear implantation is often the best and only effective treatment to improve hearing and enable spoken language for children with severe to profound hearing loss, spoken language development after early implantation is more variable in comparison to children born with typical hearing. If children who are likely to have more difficulty with spoken language are identified prior to implantation, intensified therapy can be offered earlier to improve their speech.

spoken language ability after CI implantation in different languages.
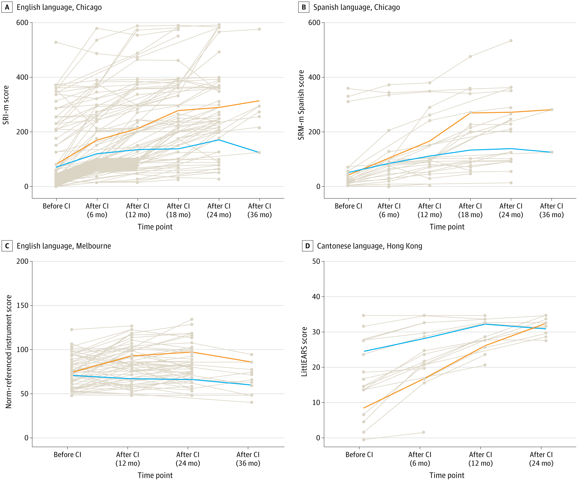
A, In the Chicago English group, the spoken language ability was measured using Recognition Index–modified version (SRI-m), a hierarchical battery ranged from 0 to 600. B, In the Chicago Spanish group, the spoken language ability was measured using SRI-m Spanish version. C, In the Melbourne English group, the spoken language ability was assessed using 2 norm-referenced instruments: the Picture Peabody Vocabulary Test–4 and Preschool Language Scale 4 and 5. Standard scores were 100 (±15 was the normative mean). D, In the Hong Kong Cantonese group, the LittlEARS Auditory questionnaire was used, with the score ranging from 0 to 35. Each gray line represents the spoken language development trajectory for 1 child. The orange line represents the mean spoken language score for the high-improvement group, and the blue line represents the mean spoken language score for the low-improvement group.

Researchers trained AI models to predict outcomes based on pre-implantation brain MRI scans from 278 children in Hong Kong, Australia, and the United States who spoke three different languages (English, Spanish, and Cantonese). The three centers in the study also used different protocols for scanning the brain and different outcome measures. 

Such complex, heterogenous datasets are problematic for traditional machine learning, but the study showed excellent results with the deep learning model. It outperformed traditional machine learning models in all outcome measures, according to the study authors.

“Our results support the feasibility of a single AI model as a robust prognostic tool for language outcomes of children served by cochlear implant programs worldwide. This is an exciting advance for the field,” says senior author Nancy M. Young, MD, medical director of Audiology and Cochlear Implant Programs at Ann & Robert H. Lurie Children’s Hospital of Chicago – the U.S. center involved in the study. “This AI-powered tool allows a ‘predict-to-prescribe’ approach to optimize language development by determining which child may benefit from more intensive therapy.”

This work was supported by the Research Grants Council of Hong Kong Grant GRF14605119, National Institutes of Health R21DC016069 and R01DC019387.